Apa Itu Struktur Data? Pahami Arti, Jenis, dan Fungsinya dalam Pemrograman
Struktur data memiliki peran yang penting dalam menyimpan dan mengelola data agar data bisa digunakan secara efisien.
Dalam pemrograman, struktur data membantu mengatur data, memproses informasi, dan mengatasi masalah dengan lebih cepat. Sementara bagi pengguna secara umum, struktur data berguna dalam mempermudah penggunaan aplikasi, misalnya saat mencari produk di website.
Oleh karena itu, kalau ingin mempelajari pemrograman, ada baiknya Anda memahami struktur data dulu agar bisa membuat aplikasi yang optimal.
Penasaran ingin tahu lebih lanjut? Nah, di tutorial kali ini, kami akan menjelaskan apa itu struktur data, jenis-jenisnya, serta kegunaannya dalam pemrograman. Langsung simak selengkapnya di bawah ini yuk!
Apa Itu Struktur Data?
Struktur data adalah sistem yang menentukan penataan dan penyimpanan data di komputer sehingga data tersebut bisa diakses dan dimodifikasi secara efisien.
Saat membuat aplikasi atau program, penting untuk memilih struktur data yang tepat karena akan memengaruhi kecepatan dan efektivitas algoritma pemrograman yang digunakan.
Struktur data juga memiliki beragam jenis, dan tiap-tiapnya memiliki metode penyimpanan informasi yang berbeda-beda sehingga mungkin lebih cocok untuk penggunaan tertentu.
Jadi, dengan menggunakan struktur data yang tepat, developer bisa mengelola data dengan lebih mudah dan cepat. Selain itu, program yang dibuat juga bisa berjalan dengan lancar, terutama kalau membutuhkan pengolahan data dalam jumlah besar.
Jenis-Jenis Struktur Data yang Umum Digunakan
Ada beberapa jenis struktur data dasar yang umum digunakan dalam pemrograman. Di bagian ini, kami akan menjelaskan tujuh tipe struktur data yang paling sering diterapkan.
1. Array

Array adalah struktur data yang menyimpan elemen dengan tipe yang sama dalam urutan tetap. Setiap elemen ini bisa diakses dengan indeks numerik, yang dimulai dari nol. Dengan array, data akan disimpan dalam blok yang berurutan sehingga setiap elemen bisa diakses dengan cepat.
Namun, karena ukurannya tetap, jumlah elemen dalam array harus ditentukan di awal sehingga mungkin akan sulit untuk menambahkan atau mengurangi elemen setelah array dibuat.
Struktur data array paling cocok digunakan ketika jumlah elemen sudah diketahui sejak awal, seperti untuk menghitung rata-rata nilai, mencari nilai maksimum atau minimum, serta mengurutkan data.
Selain itu, karena merupakan struktur data yang paling dasar, array bisa diimplementasikan di hampir semua bahasa pemrograman.
Kelebihan:
- Elemen bisa diakses dengan cepat menggunakan indeks.
- Penggunaan memori yang efisien untuk penyimpanan data sederhana.
- Mudah diterapkan di berbagai bahasa pemrograman.
Kekurangan:
- Kurang fleksibel untuk menambah atau menghapus elemen karena ukurannya tetap.
- Tidak cocok untuk data dinamis atau ketika jumlah elemen belum diketahui.
2. Linked List

Linked list merupakan struktur data yang terdiri dari serangkaian node, yang tiap-tiapnya berisi data dan pointer ke node berikutnya. Berbeda dengan array, struktur data ini tidak menggunakan blok memori berurutan sehingga lebih fleksibel dalam hal penambahan dan penghapusan elemen.
Nah, linked list sendiri dibagi menjadi beberapa jenis, yaitu:
- Singly linked list. Hanya menghubungkan node secara satu arah.
- Doubly linked list. Memiliki pointer yang menghubungkan node di kedua arah.
- Circular linked list. Node terakhir terhubung kembali ke node pertama, seperti bentuk lingkaran.
Berkat fleksibilitasnya, struktur data ini sering digunakan dalam implementasi struktur data lain, seperti stack, queue, atau graph. Linked list juga cocok untuk aplikasi yang membutuhkan alokasi memori dinamis, seperti pengelolaan memori dalam sistem operasi.
Namun, karena setiap node hanya memiliki informasi tentang elemen berikutnya, pencarian informasi menggunakan tipe struktur data ini harus dilakukan secara berurutan, tidak bisa acak.
Kelebihan:
- Lebih cepat untuk penambahan dan penghapusan elemen di awal atau akhir.
- Ukurannya bisa berubah sesuai kebutuhan.
- Pengelolaan memori lebih efisien karena tidak memerlukan blok yang berurutan.
Kekurangan:
- Lebih lambat daripada array karena pencarian data harus dilakukan secara berurutan dari node pertama.
- Lebih memakan memori untuk menyimpan pointer ke node berikutnya atau sebelumnya.
- Implementasi lebih kompleks, terutama untuk doubly linked list atau circular linked list.
3. Stack

Struktur data stack bersifat linear, yang berjalan dengan prinsip LIFO (Last In, First Out). Artinya, elemen terakhir yang dimasukkan ke dalam stack adalah elemen pertama yang akan dikeluarkan, dan begitu juga sebaliknya.
Contoh penggunaan stack yang paling mudah dijumpai adalah fungsi undo dan redo.
Saat menggunakan aplikasi yang memiliki fungsi ini, setiap perubahan Anda akan disimpan dalam stack. Ketika mengklik undo, perubahan terakhir Anda akan dikeluarkan dari stack. Saat memilih redo, perubahan tersebut dimasukkan kembali ke stack.
Kelebihan:
- Sederhana dan efisien untuk operasi LIFO, seperti undo-redo atau pemanggilan fungsi.
- Mudah diimplementasikan menggunakan array atau linked list.
- Penggunaan memori lebih terkontrol karena operasi hanya dilakukan di satu ujung (top).
Kekurangan:
- Akses terbatas pada elemen teratas saja sehingga kurang fleksibel untuk keperluan lain.
- Mungkin terjadi overflow kalau jumlah data terlalu banyak.
- Tidak bisa mengakses atau modifikasi elemen secara acak.
4. Queue

Berkebalikan dengan stack, tipe queue menerapkan prinsip FIFO (First In, First Out), yang berarti elemen pertama yang masuk akan dikeluarkan lebih dulu.
Queue biasanya digunakan dalam aplikasi yang memerlukan pengelolaan antrean, seperti penjadwalan tugas dalam sistem operasi atau manajemen resource di jaringan komputer.
Contoh mudahnya bisa diibaratkan seperti urutan pelayanan Customer Service, yaitu pelanggan yang pertama hadir akan dilayani lebih dulu. Sementara itu, pelanggan yang baru datang harus mengantre untuk dilayani nanti.
Seperti halnya struktur data stack, operasi queue hanya berjalan di dua ujung. Elemen dimasukkan di bagian belakang (rear), lalu dikeluarkan dari bagian depan (front). Struktur ini cocok digunakan untuk pengelolaan data yang harus diproses dalam urutan tetap.
Kelebihan:
- Berguna untuk aplikasi yang memerlukan pemrosesan data dalam urutan tetap
- Lebih efisien dalam hal manajemen waktu karena data diproses sesuai urutannya.
Kekurangan:
- Kurang cocok untuk aplikasi yang membutuhkan akses acak.
- Bisa memperlambat performa karena harus menunggu antrean kosong.
5. Tree

Tree adalah struktur data hierarkis yang terdiri dari node-node yang saling terhubung. Setiap node memiliki satu parent (induk) dan bisa memiliki beberapa child (turunan). Struktur data tree yang paling umum adalah binary tree, dengan setiap node yang hanya memiliki dua child.
Jenis struktur data ini sering digunakan untuk menunjukkan hubungan hierarkis, seperti struktur file sistem, database, atau model pohon keputusan dalam AI (kecerdasan buatan). Tree juga digunakan dalam berbagai algoritma, seperti pencarian, pengurutan, dan parsing.
Namun, struktur tree memerlukan pengelolaan yang lebih rumit, terutama untuk menyeimbangkannya agar performa pencarian tetap efisien.
Kelebihan:
- Ideal untuk data hierarkis, seperti file sistem atau data dalam database.
- Optimal dalam berbagai algoritma kompleks, seperti pencarian dan pengurutan.
Kekurangan:
- Sulit diimplementasikan karena strukturnya yang rumit.
- Setiap node membutuhkan lebih banyak memori karena pointer harus disimpan ke node turunannya.
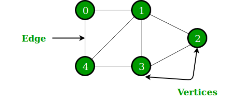
6. Graph

Graph terdiri dari kumpulan node yang terhubung melalui edge. Setiap edge bisa memiliki arah (directed graph) atau tidak (undirected graph).
Dalam graph, node bisa mewakili objek tertentu, sementara edge menunjukkan hubungan antarobjek tersebut. Contoh penggunaan optimalnya adalah untuk menggambarkan jaringan, seperti jaringan transportasi atau jaringan komputer.
Namun, struktur graph bisa menjadi sangat rumit kalau ada banyak node dan edge sehingga membutuhkan memori yang lebih besar.
Kelebihan:
- Sangat fleksibel untuk merepresentasikan hubungan yang kompleks.
- Memiliki kemampuan penggambaran data yang tidak ada pada struktur data lain.
Kekurangan:
- Pemrosesan graph yang kompleks bisa memakan banyak waktu dan memori.
- Implementasinya bisa lebih rumit karena harus menyimpan node dan edge yang terhubung.
7. Hash Table
Hash table adalah struktur data yang menyimpan data dalam pasangan key-value. Setiap key dipetakan ke indeks tertentu melalui fungsi hash sehingga pemrosesan data seperti pencarian, penambahan, dan penghapusan data bisa lebih cepat.
Struktur data ini sering digunakan dalam DBMS (sistem manajemen database) untuk mengelola indeks pencarian dan mempercepat akses data.
Hash table cocok digunakan untuk aplikasi yang memerlukan pencarian cepat, seperti caching data di web server atau database sederhana. Dengan hash table, pencarian bisa dilakukan dengan sangat cepat kalau fungsi hash dirancang dengan baik.
Kelebihan:
- Cocok untuk aplikasi yang memerlukan akses data cepat, seperti caching dan database.
- Mampu menangani data dalam jumlah besar tanpa memengaruhi performa pencarian.
Kekurangan:
- Performa bisa menurun apabila fungsi hash tidak dioptimalkan.
- Memerlukan memori tambahan untuk menyimpan pasangan key-value dan penanganan collision atau tabrakan data.
Apa Fungsi Struktur Data?
Seperti yang tadi dijelaskan, struktur data adalah salah satu fondasi terpenting dalam pemrograman. Dengan memilih struktur data yang tepat, developer bisa membuat program yang lebih efisien, cepat, dan mudah dikelola.
Berikut adalah beberapa kegunaan struktur data yang paling utama, khususnya dalam pemrograman:
- Meningkatkan efisiensi penyimpanan dan pengelolaan data. Struktur data membantu menyimpan dan mengelola data dengan lebih efisien. Contohnya, array berguna untuk akses data berurutan, sementara linked list memudahkan penambahan dan penghapusan elemen secara lebih fleksibel.
- Mempercepat performa algoritma. Pencarian dan pengurutan data bisa dilakukan dengan lebih cepat menggunakan struktur seperti binary search tree dan hash table.
- Mengoptimalkan penggunaan memori. Penggunaan memori bisa lebih disesuaikan dengan kebutuhan. Misalnya, linked list dan graph membantu mengelola data yang berubah-ubah tanpa membuang memori yang tidak digunakan.
- Meningkatkan kecepatan akses data. Dengan struktur data hash table, pencarian data bisa dilakukan dengan cepat, yang berguna untuk hal-hal seperti sistem penyimpanan cache dan pemberian rekomendasi.
- Mempermudah pemetaan dan jaringan data. Graph sangat berguna untuk merepresentasikan hubungan antarobjek, seperti jaringan sosial atau peta. Struktur data ini juga sangat fleksibel untuk menyelesaikan masalah non-linear yang kompleks.
- Mempermudah pemrosesan data dalam jumlah besar. Struktur data tree dan graph bisa membantu memproses data dalam skala besar, seperti dalam algoritma machine learning dan analitik data untuk mempercepat pengambilan dan penyusunan data.
Jadi, Sudah Paham Apa Itu Struktur Data?
Struktur data menjadi landasan yang penting dalam pemrograman untuk menyimpan, mengelola, dan memproses data secara efisien. Dengan memahami berbagai jenis struktur data, developer bisa memilih solusi yang tepat untuk kebutuhan aplikasinya.
Setiap jenis struktur data juga memiliki cara kerja dan kegunaan yang berbeda-beda. Misalnya, beberapa struktur data akan lebih optimal untuk pencarian data, mengoptimalkan penggunaan memori, atau meningkatkan performa program secara keseluruhan.
Dalam pemrograman, kegunaan utama struktur data meliputi pengelolaan data yang efisien, algoritma pencarian yang cepat, serta pemrosesan data dalam jumlah besar. Struktur data juga berperan dalam meningkatkan performa aplikasi, terutama untuk pengolahan data real-time.
Mudah-mudahan artikel ini membantu Anda memahami struktur data dengan lebih baik, ya. Apabila masih memiliki pertanyaan, sampaikan lewat kolom komentar di bawah artikel ini yuk!
Semua konten tutorial di website ini telah melalui peninjauan menyeluruh sesuai standar dan komitmen editorial Hostinger.